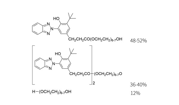
UV Absorbers UV 1130 (Alpha-3-(3-(2Hbenzotriazol-2-yl)-5-tert-butyl-4-hydroxyphenyl)propionyl-omega hydroxypoly(oxyethylene); Alpha-3-(3-(2H-benzotriazol-2-yl)-5-tert-butyl-4-hydroxyphenyl)propionyl-omega-3-(3-(2H-benzotriazol-2-yl)-5-terbutyl-4-hydroxyphenyl)propionyloxypoly(oxyethylene))
A wide range of liquid benzotriazole ultraviolet absorbent.
Features
often used with hindered amine light stabilizer, to improve the resistance of paint loss of light, pulverization, bubbles, delamination, the performance of the color;Its liquid form is easy to mix with solvent-based coatings and water-based coatings systems.
Specification of Product
Product Name : UV Absorbers UV 1130

CAS No.: 104810-48-2, 104810-47-1, 25322-68-3
Molecular Weight: 637,975,300
Melting Range(℃): Liquid at room temperature
Product form: Yellow to light amber viscous liquid
Kinetic viscosity@20℃: 7200-7600mPa·s
Package: 20kg/Drum; 200kg/Drum
Solubility @20 ℃ ( g/100g solvent )
Acetone >50
Xylene >50
Methyl n-pentanone >50
100 # solvent oil >50
Ethanol >50
Propanediol methyl ether acetate >50
Butyl acetate >50
Diethylene glycol butyl ether >50
n-hexane <0.5
Water Insoluble
Recommended substrate
Industrial Coating
Automotive Coating
Industry
Building & Construction